1. 定义与核心关系
- 轴向分辨率:指OCT系统在深度方向(轴向)上区分相邻结构的能力,通常由光源的中心波长(λ₀)和带宽(Δλ)决定,理论公式为:

其中,Δz为轴向分辨率,λ0为中心波长,Δλ为光谱带宽。
带宽越宽,分辨率越高(Δz越小)。
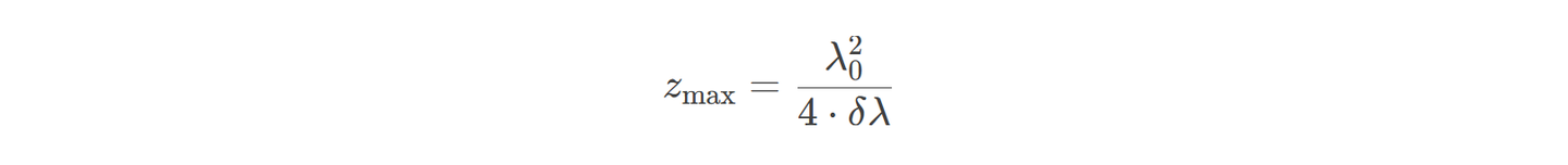
- 成像深度:指OCT能探测的最大光学路径长度,由光源的中心波长和探测器的采样间隔决定。对于频域OCT(FD-OCT),成像深度为:

其中,δλ是光谱采样间隔(与光谱仪的分辨率相关)。
更小的采样间隔(更高光谱分辨率)可增加成像深度,但会牺牲其他性能(如速度)。
2. 两者的独立性
- 物理机制不同:
- 轴向分辨率取决于光源的相干特性(带宽)。
- 成像深度主要由探测系统的光谱分辨能力(如光谱仪的像素数、采样率)决定。
因此,理论上可以通过选择不同光源和探测器独立优化这两个参数。
- 技术实现示例:
- 使用超宽带光源(如λ₀=1300nm,Δλ=300nm)可实现高轴向分辨率(如2μm),但成像深度仍由光谱仪设计决定。
- 增加光谱仪的像素数可提升成像深度,但不直接影响分辨率。
3. 实际系统中的相互制约
尽管独立,但在系统设计中二者可能间接关联:
- 光谱仪带宽与采样率的权衡:
高分辨率(宽带宽)光源需要光谱仪具备更精细的采样(更多像素)以维持成像深度,否则可能导致深度范围不足。 - 信号处理限制:
更深的成像需要更长的干涉信号采样,可能增加数据处理负担,但对分辨率无直接影响。 - 散射与信噪比(SNR):
在深层组织中,散射会降低信号强度,可能导致高分辨率难以实际利用(尽管理论分辨率不变)。

小鼠大脑血管造影成像人眼视网膜成像示意图液晶面板的胶合层析结构成像和直径 100μm 玻璃小球的 enface 图像